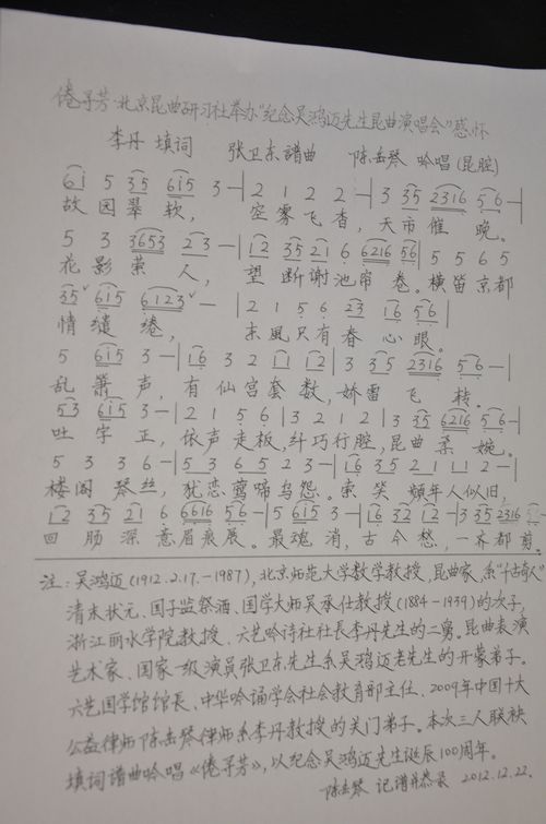
【新】2012年12月22日陈岳琴博士出席北京昆曲研习社纪念吴鸿迈先生诞辰100周年演唱会
2012年12月22日,北京六艺国学馆馆长陈岳琴博士出席北京昆曲研习社纪念吴鸿迈先生诞辰100周年演唱会,吟唱了吴鸿迈先生的外孙六艺诗社社长李丹教授填词 国家一级演员昆曲表演艺术家吴鸿迈先生的开蒙弟子张卫东老师谱曲并亲传的《倦寻芳》